Siapa yang tidak bercita-cita menjadi mahasiswa kampus UGM? UGM merupakan salah satu universitas terfavorit di Indonesia. Sehingga banyak dari para calon mahasiswa mengincar masuk ke perguruan tinggi di Yogyakarta tersebut. Bagi kamu yang belum lolos SBMPTN ke UGM, jangan Khawatir, masih ada ujian mandiri yang diadakan UGM. Untuk menghadapinya, sudah pasti dong harus berlatih. Yuk latihan soal UTUL UGM saintek berikut.
Latihan Soal Ujian Tulis UGM Kemampuan Saintek
1.Enzim katalase berfungsi untuk mengkatalisir perubahan…
A. C6H12O6 menjadi CH3CH2OH dan CO2
B. C6H12O6 dan O2 menjadi CO2 dan H2O
C. CO2 dan H2O menjadi C6H12O6, H2O dan CO2
D. O2 dan H2O menjadi H2O2
E. H2O2 menjadi O2 dan H2O
Jawaban : E
Pembahasan: Enzim katalase terdapat pada semua jaringan tubuh, terutama konsentrasi tinggi di dalam hati , jantung, ginjal, dan darah. Selama pernapasan, terbentuk H2O2 (hidrogen peroksida) yang bersifat racun dan dapat menyebabkan kerusakan sel. Namun oleh enzim katalase H2O2 dapat diuraikan menjadi air dan oksigen.
2H2O2 → 2O2 + H2O
2. Pada tanaman yang melakukan metabolisme asam krasulase, fiksasi CO2 terjadi di malam hari.
SEBAB
Tanaman yang melakukan metabolisme asam krasulase merupakan golongan tanaman sukulen yang pada umumnya hidup di daerah kering dan panas.
A. Jika pernyataan benar, alasan benar, dan keduanya menunjukkan hubungan sebab dan akibat
B. Jika pernyataan benar, alasan benar, tetapi keduanya tidak menunjukkan hubungan sebab dan akibat
C. Jika pernyataan benar dan alasan salah
D. Jika pernyataan salah dan alasan benar
E. Jika pernyataan dan alasan keduanya salah
Jawaban : A
Pembahasan: Tanaman CAM (Crassulacean Acid Metabolism) merupakan tanaman yang hidup di daerah sangat kering dan panas. Sehingga untuk mengurangi terjadinya kehilangan air melalui proses penguapan, maka pembukaan stomata untuk fiksasi karbon dioksida (CO2) dilakukan malam hari ketika suhu tidak terlalu tinggi. Contoh tanaman CAM adalah kaktus, nanas, dan lidah buaya.
3. Hormon berikut yang dapat dihasilkan oleh jaringan non permanen adalah...
A. Gonadotropin
B. Oksitosin
C. Tiroksin
D. Progesteron
E. Estradiol
Jawaban : A
Pembahasan: Salah satu contoh jaringan non permanen pada manusia adalah korion. Korion terbentuk pada saat kehamilan. Korion merupakan suatu selaput yang berada di sebelah luar amnion. Korion dan allantois akan tumbuh membentuk jonjot pembuluh darah yang berhubungan dengan peredaran darah induknya melalui plasenta dan berperan dalam pertukaran gas. Sel-sel pada korion mensekresikan hormon hCG (human chorionic gonadotropin) yang menjaga produksi estrogen dan progesteron yang dihasilkan oleh korpus luteum selama masa-masa awal kehamilan.
4. Jika diketahui bahwa salah satu pita dari molekul DNA terdiri atas 23% Adenin, 37% Timin, 16% Sitosin, dan 24% Guanin, maka kandungan Guanin dalam molekul DNA tersebut adalah ....
A. 16%
B. 20%
C. 24%
D. 30%
E. 40%
Jawaban : B
Pembahasan: DNA mempunyai untai ganda (double helix), untai satu dengan lainnya disatukan oleh ikatan hidrogen antar basa nitrogen. Basa nitrogen adenin  (A) akan berikatan dengan timin (T) dengan 2 ikatan hidrogen dan guanin (G) akan berikatan dengan sitosin (C) dengan 3 ikatan hidrogen. Sehingga jumlah basa nitrogen guanin sama dengan sitosin, dan adenin sama dengan timin.
Sehingga untuk menentukan jumlah suatu basa nitrogen pada suatu untai DNA dapat dilakukan perhitungan sebagai berikut:
Jumlah G dan C dalam untai DNA = 24 + 16 = 40%
Jumlah G untai DNA = 40% : 2= 20%
5. Keberadaan lemak di dalam usus halus akan merangsang sekresi…
1. Empedu
2. Lipase
3. Kolesistokinin
4. Sekretin
A. Jika (1), (2), dan (3) yang benar
B. Jika (1) dan (3) yang benar
C. Jika (2) dan (4) yang benar
D. Jika hanya (4) yang benar
E. Jika semuanya benar
Jawaban : E
Pembahasan: Keberadaan lemak merangsang usus halus bagian duodenum untuk melepaskan hormon sekretin dan kolesistokinin ke dalam darah. Jika hormon sekretin sampai di pankreas akan merangsang hormon produksi dan pelepasan getah pankreas, sedangkan hormon kolesistokinin merangsang empedu untuk mengeluarkan bilus. Bilus mengandung garam empedu dan bilirubin (zat warna empedu) yang dapat mengemulsi lemak.
6. Unsur
ditembakkan dengan partikel deuteron. Jika dilepaskan partikel proton, maka unsur baru yang dihasilkan dari reaksi inti ini adalah….
ditembakkan dengan partikel deuteron. Jika dilepaskan partikel proton, maka unsur baru yang dihasilkan dari reaksi inti ini adalah….Jawaban  : B
Pembahasan    :
Partikel deuteron dilambangkan dengan 1D2
Partikel proton dilambangan dengan 1p1
Persamaan reaksi inti tersebut adalah sebagai berikut:
23V51 + 1D2 -> 23V52 + 1p1
Sehingga unsur baru yang dihasilkan dari reaksi inti tersebut adalah 23V52.
7. Pada temperatur 200C, larutan sikloheksena dan toluena mempunyai tekanan uap murni masing-masing sebesar 70 torr dan 20 torr. Tekanan uap total larutan yang terdiri dari 50% mol sikloheksana dan 50% mol toluena adalah….
A. 20 torr
B. 45 torr
C. 50 torr
D. 70 torr
E. 100 torr
Jawaban  : B
Pembahasan  :
Diketahui   :
     Po sikloheksena = 70 torr
     Po toluena = 20 torr
     Jika total mol campuran tersebut adalah 1 mol, maka:
mol sikloheksena = 50 % x 1 mol = 0,5 mol
mol toluena = 50% x 1 mol = 0,5 mol
menurut hukum Dalton, tekanan total campuran dinyatakan dengan:
8. Sebanyak 240 gram gas SO3 pada temperatur dan volume tertentu terurai menjadi gas SO2 dan gas O2. Jika derajat disosiasi gas SO3
adalah  dan tekanan total gas setelah tercapai kesetimbangan adalah 7 atm, maka tekanan persial SO3 pada saat kesetimbangan adalah….
adalah  dan tekanan total gas setelah tercapai kesetimbangan adalah 7 atm, maka tekanan persial SO3 pada saat kesetimbangan adalah….(diketahui Ar S = 32, O = 16)
A. 1,0 atm
B. 2,0 atm
C. 3,5 atm
D. 4,0 atm
E. 7,0 atm
Jawaban   : D
Pembahasan  :
Diketahui  :
     Massa SO3 = 240 gram
Reaksi penguraian gas SO3 berlangsung sebagai berikut:
9. Jika senyawa-senyawa berikut dilarutkan dalam 500 mL air, maka senyawa yang menghasilkan titik didih tertinggi adalah ….
A. 7,1 gram Na2SO4 (Mr = 142)
B. 11,7 gram NaCl (Mr = 58,5)
C. 34,2 gram fruktosa (Mr = 342)
D. 36 gram glukosa (Mr = 180)
E. 6 gram urea (Mr = 60)
Jawaban  : B
Pembahasan  :
A. 7,1 gram Na2SO4 (Mr = 142)
Na2SO4 merupakan elektrolit kuat dengan n = 3
B. 11,7 gram NaCl (Mr = 58,5)
NaCl merupakan elektrolit kuat dengan n = 2
C. 34,2 gram fruktosa (Mr = 342)
Fruktosa merupakan larutan non elektrolit
D. 36 gram glukosa (Mr = 180)
Glukosa merupakan larutan non elektrolit
E. 6 gram urea (Mr = 60)
Sehingga larutan yang memiliki titik didih tertinggi adalah larutan NaCl.
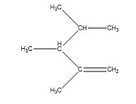
10. Nama sistematis senyawa yang memiliki struktur berikut adalah ….
A. 2-isopropil-1-butena
B. 2,3-dimetil-2-heksena
C. 2-metil-3-isopropil-1-butena
D. 2,3,4-trimetil-1-butena
E. 2,3,4-trimetil-1-pentena
Jawaban : E
Pembahasan :
Senyawa yang memiliki gugus fungsi ikatan rangkap 2 (C=C) merupakan senyawa golongan alkena. Penamaan senyawa alkena secara IUPAC yaitu:
- menentukan rantai terpanjang / rantai induk unsur yang mengikat gugus fungsi (C=C)
- memberikan nomor rantai induk dimulai dari yang paling dekat dengan gugus fungsi
- gugus di luar rantai induk disebut dengan cabang. Jika terdapat cabang lebih dari satu :
- cabang yang sama : penamaan diberi awalan jumlah mono, di, tri, dan seterusnya
- cabang yang berbeda : penamaan diurutkan sesuai abjad
- penulisan nama : nomor letak cabang + nama cabang + nomor letak gugus fungsi + nama rantai induk dengan akhiran -ena
Sehingga nama senyawa tersebut adalah 2,3,4-trimetil-1-pentena
11. Balok A dengan berat 100 N bergerak menaiki bidang miring 300 tanpa gesekan oleh tarikan gaya F sehingga balok tersebut bergerak dengan kelajuan konstan.
A. 500 J.             D.  -250 J.
B. 250 J.             E.   -500 J. 
C. 0.
Jawaban : A
Pembahasan:
Berdasarkan teorema usaha-energi,
Usaha oleh gaya F positif karena gaya F searah dengan perpindahan s.
12. 2 kg es bersuhu 0o C dicampur dengan 8 kg air bersuhu to C. Campuran tersebut mencapai suhu setimbang 20o C tanpa pertukaran kalor dengan lingkungan. Dengan kalor jenis air 1 kkal/kgo C, kalor jenis es 0,5 kkal/kgo C dan kalor es 80 kkal/kgo , berapa nilai t dalam oC?
A. 10                       D. 40
B. 15                       E. 45
C. 20
Jawaban : E
Pembahasan:
Berdasarkan Azas Black bahwa :
Kalor yang diserap = kalor yang dilepas
13. Benda bermassa 10 kg diam di atas lantai kasar. Koefisien gesek antara benda dan bidang 0,5. Pada saat t = 0 benda mulai dikenai gaya F sebesar 50 N membentuk sudut  terhadap horizontal seperti gambar.
A. 5 m.              D. 20 m.
B. 10 m.            E.   25 m.
C. 15 m.
Jawaban : E
Pembahasan:
Berdasarkan hukum II Newton :
Maka jarak yang ditempuh benda adalah
14. Suatu benda angkasa bermassa M dalam ruang bebas medan bergerak dengan kecepatan V. Pada suatu saat benda tersebut mengalami pembelahan secara internal menjadi dua bagian. Bagian pertama bermassa M/4 bergerak dengan kecepatan sebesar 3V pada arah tegak lurus dengan arah kecepatan semula (V). Jika bagian kedua bergerak pada arah yang membentuk sudut
adalah..
adalah..A. ¾                      D. 5/4
B. 4/5                   E.  4/3
C. 1
Jawaban : A
Pembahasan:
Pada tumbukan berlaku hukum kekekalan momentum :
15. Tiga jenis cairan di dalam pipa-U dalam keadaan setimbang seperti gambar. Rapat massa cairan 1 dan cairan 2 berturut-turut 2,5 g/cm3 dan 4 g/cm3. Jika tekanan udara luar 1 atm = 76 cm Hg dan rapat massa Hg (raksa) 13,5 g/cm3 tekanan hidrostatik di titik A sebesar ….
A. 90 cm/Hg               D. 40 cm/Hg
B. 70 cm Hg                E. 20 cm/Hg
C. 50 cm/Hg
Jawaban : E
Pembahasan:
Di titik A pada pipa U di samping berlaku:
Besar tekanan di A :
16. Sebuah deret geometri mempunyai suku ke-5 dengan nilai 48 dan jumlah nilai suku ke-3 dan ke-4 adalah - Jumlah empat suku pertama deret ini adalah ....
A. -6                           D. -15
B. -9                           E. -18
C. -10
Jawaban : D
Pembahasan:
Jawaban : A
Pembahasan:
sehingga nilai dari:
A. -10
B. 14
C. -16
D. 18
E. 0
Jawaban : C
Pembahasan:
19. Salah satu akar persamaan
adalah dua kali akar yang lainnya. Apabila a1 dan a2 nilai-nilai yang cocok untuk a, maka a1 + a2 = ..
adalah dua kali akar yang lainnya. Apabila a1 dan a2 nilai-nilai yang cocok untuk a, maka a1 + a2 = ..A. 10                            D.26
B. 15                            E. 32
C. 19
Jawaban : D
Pembahasan:
Jawaban: D
Pembahasan:
Nah, itulah latihan soal lengkap dengan pembahasan yang dapat kamu kerjakan untuk latihan sebelum menghadapi UTUL UGM. Jika kamu terbiasa berlatih mengerjakan soal, kamu akan terbiasa menghadapi pertanyaan yang muncul. Selain dengan giat belajar, kamu juga harus mengimbanginya dengan doa. karena dengan doa, kamu akan lebih tenang menghadapi ujiannya.



































Post a Comment